Version 1.3 of the Direct Photolysis Reaction Library contains 155 reaction schemes:
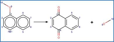
· 1-Naphthoxy Photorearrangement (C2)
· 1-Naphthoxy Photorearrangement (C4)
· 2-Naphthoxy Photorearrangement (C1)
· 2-Nitrobenzaldehyde Photorearrangement
· Benzyl Phenyl Ether Photorearrangement (o)
· Benzyl Phenyl Ether Photorearrangement (p)
· Enone Steroid Photorearrangement to Cyclopentenone
· Enone Steroid Photorearrangement to Lumiketone
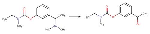
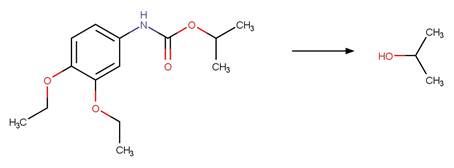
· O-aryl Carbamate Photorearrangement (o)
· O-aryl Carbamate Photorearrangement (p)
· Organothiophosphorus Ester Photochemical Oxygen Transfer
· Organothiophosphorus Ester Photorearrangement
· Phenoxyphenol Dehalogenative Photorearrangement
· Aromatic Ketone Norrish II Photocleavage (C1_C4)
· Aminobenzophenone Photochemical N-dealkylation
· Benzyl Photodeamination to Alcohol
· Benzyl Photodeamination to Carbonyl
· Benzyl Thiocarbamate Photocleavage to Carbonyl
· Cyclohexanedione Oxime N-O Photocleavage
· Dihydrophenanthrene Benzyl Photodealkylation
· Dihydrophenanthrene Benzyl Oxidative Photodealkylation
· Dinitroaniline Photochemical N-dealkylation
· Fluoroquinolone Ethylenediamine Photochemical N-dealkylation
· Fluoroquinolone Photochemical N-dealkylation
· Fluoroquinolone Piperazine Photochemical Bis N-dealkylation
· Imidazolinone Ring Photocleavage to Aldehyde
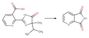
· Imidazolinone Ring Photocleavage to Amide
· Imidazolinone Ring Photocleavage to Amidine
· Imidazolinone Ring Photocleavage to Carboxylic Acid
· Nitroenamine Photocleavage to Carbonyl
· Nitrosamine N-C Photocleavage
· p-Aminobenzoic Acid Photochemical N-dealkylation
· Phenoxyphenol Ether Photocleavage
· Phenylurea Photochemical N-dealkylation
· Phenylurea Photochemical N-demethoxylation
· Phenylurea N-formyl Photocleavage
· Pyridinium Photochemical N-dealkylation
· s-Triazine Side Chain Photochemical N-dealkylation
· Sulfonamide N-C Photocleavage (6-5)
· Tetracycline Photochemical N-dealkylation
· 1_2_4-Triazine-5-one Photochemical N-deamination
· Aromatic Acetic Acid Photodecarboxylation
· Aromatic Acetic Acid Photodecarboxylation to Alcohol
· Aromatic Acetic Acid Photodecarboxylation to Carbonyl
· Aromatic Carboxylic Acid Photodecarboxylation
· Aromatic Carboxylic Acid Photodecarboxylation to Alcohol
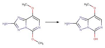
· Benzotriazole Photodenitrogenation
· Benzotriazole Photodenitrogenation to Phenol (o)
· Cyanohydrin Cyano Photoelimination to Aldehyde
· Fipronil Sulfoxide Photoextrusion
· Imidazolinone Amide Photoelimination
· Imidazolinone Photodecarbonylation
· Nitroguanidine Photochemical N-denitration
· Nitrosamine N-N Photocleavage
· Phenoxyacetic Acid Photodecarboxylation
· Phenoxyacetic Acid Photodecarboxylation to Carbonyl
· Pyrrolinone Photodecarbonylation
· RDX Photochemical N-denitration to Imine
· Sulfonamide SO2 Extrusion Photorearrangement (6-6)
· Acetanilide Dehalogenative Photocyclization to Pyrrolinone
· Acetanilide O-dealkyl Dehalogenative Photocyclization to Morpholinone
· Altrenogest Photocycloaddition
· Aminobenzophenone Photocyclization to Acridinone
· Anthranilic Diamide Dehalogenative Photocyclization to Oxazine
· Aromatic Ketone Norrish II Photocyclization (C1_C4)
· beta-Triketone Dehalogenative Photocyclization to Pyran
· Diarylethene Photocyclization to Phenanthrene
· Diarylethene Photocyclization to Phenanthrene (E isomer)
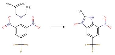
· Dinitroaniline Photocyclization to Benzimidazole (NOHOH)
· Dinitroaniline Photocyclization to Benzimidazole (NOHOH to NO)
· Dinitroaniline Photocyclization to Benzimidazole (NO to N)
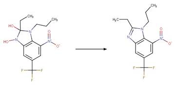
· Diphenylamine Photocyclization to Carbazole
· Diphenylamine Dehalogenative Photocyclization to Carbazole
· Fluoroquinolone Defluorinative Photocyclization
· Lamotrigine Photocyclization to Carbazole
· Lamotrigine Dehalogenative Photocyclization to Carbazole
· o-Vinylbiphenyl Photocyclization to Dihydrophenanthrene
· Phenoxyphenol Dehalogenative Photocyclization to Dioxin
Photochemical Ring Contraction
· Zepine Photochemical Ring Contraction to Acridine
· Aromatic Amine Photohydrolysis
· Aromatic Carbamate Photohydrolysis
· Aromatic Ether Photohydrolysis
· Aromatic Halide Photohydrolysis
· Aromatic Nitro Photohydrolysis
· Aromatic Sulfonate Photohydrolysis
· Benzoylphenylurea Amide Photohydrolysis
· Benzoylphenylurea Urea Photohydrolysis
· beta-Triketone alpha Photocleavage to Carboxylic Acid
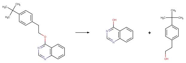
· Diphenyl Ether Photohydrolysis
· Fluoroquinolone Fluoride Photohydrolysis
· N-aryl Amide Photohydrolysis
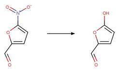
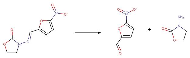
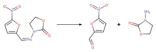
· Nitrofuran Imine Photohydrolysis
· Nitroguanidine Imine Photohydrolysis
· Nitroguanidine Nitro Photohydrolysis
· Organophosphorus Ester Photohydrolysis
· Pyrethroid Carboxylic Acid Ester Photohydrolysis
· Pyrrolinone Halide Photohydrolysis
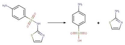
· Sulfonamide S-C Photohydrolysis
· Sulfonylurea Photohydrolysis
· Sulfonylurea S-C Photohydrolysis
· Sulfonylurea S-N Photohydrolysis
· Trifluoromethyl Photohydrolysis
· Dienone Steroid Photohydration (C5)
· Dienone Steroid Photohydration (C9)
· Enone Steroid Photohydration and Photorearrangement to Spiro
· Trienone Steroid Photohydration (C10)
· Trienone Steroid Photohydration (C12)
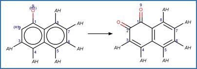
· 1_2-Naphthoquinone Photohydroxylation (C4)
· 1_4-Naphthoquinone Photohydroxylation (C5)
· 1_4-Naphthoquinone Photohydroxylation (C6)
· 1-Hydroxypyrene Photooxidation to Quinone (C1_C6)
· 1-Hydroxypyrene Photooxidation to Quinone (C1_C8)
· 1-Naphthol Photooxidation to 1_2-Benzoquinone
· 1-Naphthol Photooxidation to 1_4-Benzoquinone
· 1-Naphthoxy Oxidative Photocleavage to 1_4-Benzoquinone
· Anthracene Photooxidation to Endoperoxide
· Aromatic Methyl Photooxidation to Carboxylic Acid
· Aromatic Nitroso Photooxidation
· Aromatic Sulfoxide Photooxidation
· Aromatic Thioether Photooxidation
· Benzaldehyde Photooxidation to Carboxylic Acid
· Benzyl Thio Photooxidation to Sulfoxide
· beta-Triketone alpha Photohydroxylation (Dienol)
· beta-Triketone alpha Photohydroxylation (Keto)
· beta-Triketone Photohydroxylation (Enol)
· beta-Triketone Photohydroxylation (Keto)
· Carbamazepine Photoepoxidation
· Dihydrooxathiine Anilide Photooxidation to Sulfoxide
· Dihydropyridine Photooxidation to Pyridine
· Octahydrophenanthrene Benzyl Photohydroxylation
· Octahydrophenanthrene Benzyl Photooxidation to Ketone
· Organothiophosphorus Ester Photooxidation to Oxon
· Phenylurea N-methyl Photooxidation to N-formyl
· Pyrene Aromatic Photohydroxylation
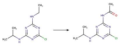
· s-Triazine Side Chain N-alkyl Photooxidation to Carbonyl
· s-Triazine Side Chain N-isopropyl Photooxidation to Ketone
· Trienone Steroid Photooxidation to Dialdehyde
· Trifluoroacetic Acid Photoformation
· Aromatic Photohydrodehalogenation
· Dinitroaniline Nitro Photoreduction
· Fluoroquinolone Photohydrodefluorination
· 12-OH Steroid Dehydration to Trienone
· 5-OH Steroid Dehydration to Dienone
· Aldehyde Oxidation to Carboxylic Acid
· Dehydration of Geminal Diols
· Hydroxy Enal Tautomerization
Rank of Individual Reaction Schemes
The reaction schemes are encoded using the notation and structural query features (L, ~L, L1-X, etc) from ChemAxon’s Marvin tools. Definitions of some common symbols used in the reaction schemes are provided below:
· L[a1;a2;…] is a list of possible atoms (a1, a2, …) that can occupy the position within the fragment
· ~L![a1;a2;…] is a list of atoms (a1, a2, …) that cannot occupy the position within the fragment
· A is any atom except hydrogen
· AH is any atom including hydrogen
· X is any halogen atom (i.e. F, Cl, Br, X)
· (A) indicates an aliphatic carbon atom
· (a) indicates an aromatic carbon atom
· (L1-N) indicates a string of atoms (acyclic or cyclic) of length of N
· (X#) indicates # connections (= substituents including hydrogen) are attached to the atom
· (H#) indicates at least # hydrogens are attached to the atom
· (s#) indicates # non-hydrogen substituents are attached to the atom
· (s*) indicates the non-hydrogen substituent count is as drawn for the atom
· (R0) indicates the atom is not part of a ring
· (R) indicate the atom is part of a ring
·
is a single
bond
·
is a double
bond
·
is an aromatic
bond unless otherwise stated underneath the reaction scheme to represent a single/aromatic
or a double/aromatic bond
·
is a single or
double bond
·
is a double cis
or trans bond
The associated reactivity, selectivity, and exclusion rules are encoded using ChemAxon's Chemical Terms Language. Definitions of the Chemical Terms functions used in the reaction schemes can be referred from ChemAxon’s documentation: https://docs.chemaxon.com/display/docs/Available+Functions (accessed on Apr 29, 2020).
Other Notes:
· The reference from European Food Safety Authority (EFSA) reports can be found on the official website and was not referred individually: http://www.efsa.europa.eu/en/publications (accessed on Apr 29, 2020).
· “XXX photo-product” as the compound name means that XXX was the original compound photolyzed in the reference and the XXX photo-product and the subsequent products were detected.
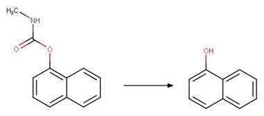
Scheme:

Examples:
Napropamide (Aguer et al. 1998, Chang et al. 1991) (EFSA)
References:
Scheme:

An exclusion rule is included to differentiate the scheme from “O-aryl Carbamate Photorearrangment (p)” by specifying that reactant atom 11 is not part of a carbamate functional group.
Examples:
Napropamide (Aguer et al. 1998, Chang et al. 1991) (EFSA)

Reference:
Scheme:

An exclusion rule is included to differentiate this scheme from “O-aryl Carbamate Photorearrangement (o)” by specifying that reactant atom 11 is not part of a carbamate functional group.
Examples:
2-naphthoxyacetic acid (Climent and Miranda 1997)

2-naphthoxyacetic acid (Climent and Miranda 1997)
The product is formed by the reaction scheme along with other transformations.

References:
Scheme:

Examples:
2-nitrobenzaldehyde (McFall and Anastasio 2016)

References:
Scheme:

An exclusion rule is included to exclude the counterexample dimoxystrobin by specifying that reactant atom 9 is not part of a benzaldoxime functional group.
Examples:
Mandestrobin (Adachi et al. 2018) (EFSA)

Dimoxystrobin (EFSA)

References:
Scheme:

An exclusion rule is included to exclude the counterexample dimoxystrobin by specifying that reactant atom 9 is not part of a benzaldoxime functional group.
Examples:
Mandestrobin (Adachi et al. 2018) (EFSA)
Dimoxystrobin (EFSA)

References:
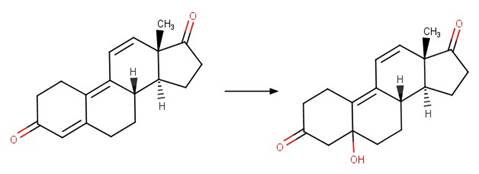
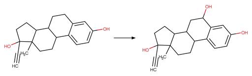
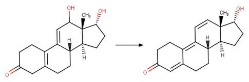
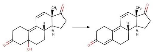
Scheme:

Examples:
Androstenedione (Young et al. 2013)

Testosterone (Vulliet et al. 2010)

References:
Scheme:

Examples:
Androstenedione (Young et al. 2013)

Testosterone (Vulliet et al. 2010)

References:
Scheme:

Examples:
Phenisopham (Passananti et al. 2014)

References:
Scheme:

Examples:
Phenisopham (Passananti et al. 2014)

References:
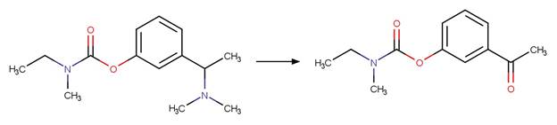
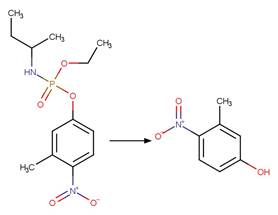
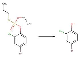
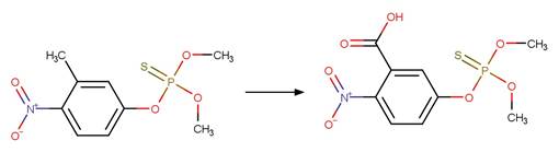
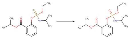
Scheme:

Examples:
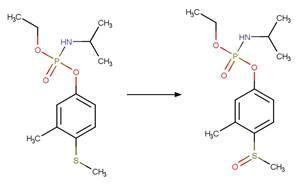
Butamifos (Katagi 1993)

References:
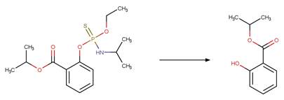
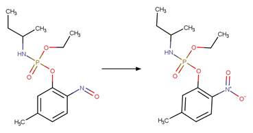
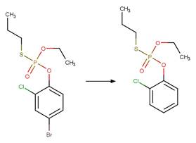
Scheme:

Examples:
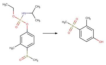
Fenthion (Torrisi and Sortino 2004)

pirimiphos-methyl (EFSA)

References:
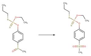
Scheme:

Examples:
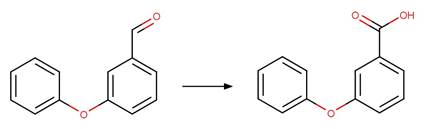
Triclosan (Kliegman et al. 2013)

References:
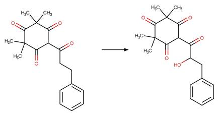
Scheme:

A reactivity rule is included to constrain that the ketone side chain is not part of a ring by specifying the bond between reactant atom 2 and 3 being a chain bond.
Examples:
Valerophenone (Zepp et al. 1998)
References:
Scheme:

An exclusion rule is included to constrain that the cleaved bond is not part of a ring.
Examples:
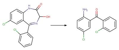
5-chloro-2-methylaminobenzophenone (West and Rowland 2012)

Temazepam photo-product (West and Rowland 2012)

References:
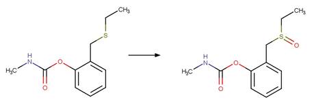
Scheme:

Two exclusion rules are included (1) to exclude the carbamate functional group at atom 3 and (2) to constrain that the cleaved bond between reactant atom 2 and 3 is not part of a ring.
Examples:
Rivastigmine (Temussi et al. 2012)

Imidacloprid (Wamhoff and Schneider 1999)

References:
Scheme:

Two exclusion rules are included (1) to exclude the amide functional group at atom 3 and (2) to constrain that the cleaved bond between reactant atom 2 and 3 is not part of a ring.
Examples:
Rivastigmine (Temussi et al. 2012)

Imidacloprid (Moza et al. 1998)

Methotrexate (Chatterji and Gallelli 1978)
The products are formed by the reaction scheme along with other transformations.

Folic acid (Saxby et al. 1983)
The products are formed by the reaction scheme along with other transformations.

References:
Scheme:

An exclusion rule is included by specifying that reactant atom 2 is not a carbonyl carbon.
Examples:
Thiobencarb (Ruzo and Casida 1985)

drepamon sulfoxide (Draper and Crosby 1984)

References:
Scheme:

Examples:
Alloxydim (Sandín-España et al. 2013)

Clethodim (Sevilla-Morán et al. 2010)

Tralkoxydim (EFSA)

References:
Scheme:

Examples:
Diazepam (West and Rowland 2012)

Nordiazepam (West and Rowland 2012)

Temazepam (West and Rowland 2012)

Oxazepam (Calisto et al. 2011, West and Rowland 2012)

Lorazepam (Calisto et al. 2011)

References:
Scheme:

An exclusion rule is included to constrain that the cleaved bond is not part of a ring.
Examples:
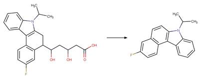
5-[8-fluoro-4-isopropyl-2-(N-methylmethanesulfonamido)-5H,6H-benzo[h]quinazolin-6-yl]-3,5-dihydroxypentanoic acid (Astarita et al. 2007)

References:
Scheme:

An exclusion rule is included to constrain that the cleaved bond is not part of a ring.
Examples:
5-[8-fluoro-4-isopropyl-2-(N-methylmethanesulfonamido)-5H,6H-benzo[h]quinazolin-6-yl]-3,5-dihydroxypentanoic acid (Astarita et al. 2007)

5-{3-fluoro-7-isopropyl-5H,6H-benzo[c]carbazol-5-yl}-3,5-dihydroxypentanoic acid (Cermola et al. 2007)

References:
Scheme:

Examples:
Trifluralin (Leitis and Crosby 1974, Tagle et al. 2005)(EFSA)

Pendimethalin (Dureja and Walia 1989, Pal et al. 1991)

Butralin (Plimmer and Klingebiel 1974) (EFSA)

Benfluralin (EFSA)
The products are formed by the reaction scheme along with other transformations.

Oryzalin (EFSA)
The product is formed by the reaction scheme along with other transformations.

References:
Dureja, P. and Walia, S. 1989. Photodecomposition of pendimethalin. Pestic. Sci. 25(2), 105-114.
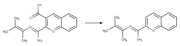
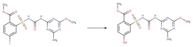
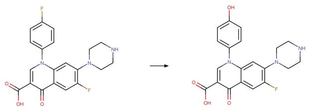
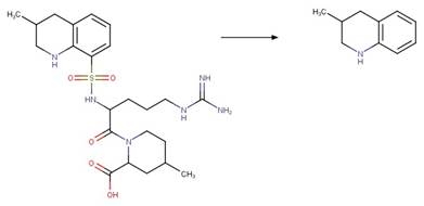
Scheme:

An exclusion rule is included to distinguish this scheme from “Fluoroquinolone Piperazine Photochemical bis N-dealkylation” by specifying that reactant atom 11 is not part of the full piperazine ring.
Examples:
Enrofloxacin photo-product (Burhenne et al. 1997), ciprofloxacin photo-product (Baena-Nogueras et al. 2017)

Danofloxacin photo-product (Baena-Nogueras et al. 2017)

Gatifloxacin (Ge et al. 2018)
The product is formed by the reaction scheme along with other transformations.

References:
Scheme:

A reactivity rule is included to distinguish this scheme from “Fluoroquinolone Piperazine Photochemical bis N-dealkylation” and “Fluoroquinolone Piperazine Photochemical N-dealkylation” by specifying that the shortest path between reactant atom 11 and 13 is 4 bonds.
Examples:
Enrofloxacin (Wammer et al. 2013)

Enrofloxacin photo-product (Sturini et al. 2010)

Difloxacin (Kusari et al. 2009)

Danofloxacin (Ge et al. 2010)

References:
Scheme:
Examples:
Ciprofloxacin photo-product (Baena-Nogueras et al. 2017)

Enrofloxacin (Burhenne et al. 1997)

Danofloxacin (Baena-Nogueras et al. 2017)

References:
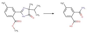
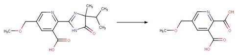
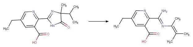
Scheme:

Examples:
Imazapic (Christiansen et al. 2015, Harir et al. 2007b)

Imazamox (Harir et al. 2007a)

Imazapyr (Quivet et al. 2004)

References:
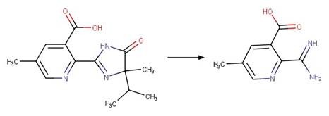
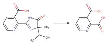
Scheme:

Examples:
Imazapic (Harir et al. 2007b)

Imazamox (Harir et al. 2007a)

Imazapyr (Mallipudi et al. 1991)
The product is
formed by the reaction scheme along with other transformations.
Imazaquin (Barkani et al. 2005) (EFSA)

p-imazamethabenz-methyl (Brigante et al. 2007)
The product is formed by the reaction scheme along with other transformations.

References:
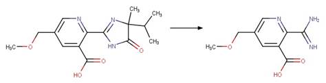
Scheme:

Examples:
Imazapic (Harir et al. 2007b)

Imazamox (Harir et al. 2007a)

Imazapyr (Quivet et al. 2004)

References:
Scheme:

Examples:
Imazamox (Harir et al. 2007)

Imazaquin (Barkani et al. 2005) (EFSA)

Imazapyr (Mallipudi et al. 1991, Quivet et al. 2004)

References:
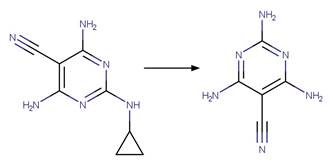
Scheme:

A reactivity rule is included to ensure the correct valence of product atom 1.
Examples:
Nitenpyram (Ezell et al. 2019)
References:
Scheme:

Examples:
Nitenpyram (Todey et al. 2018)
Nithiazine (Kleier et al. 1985)

References:
Scheme:

Examples:
N-nitrosodimethylamine (Plumlee and Reinhard 2007)

References:
Scheme:

An exclusion rule is included to constrain that the cleaved bond is not part of a ring.
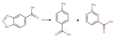
Examples:
octyldimethyl PABA (Sakkas et al. 2003)

1-methyl-5-carboxylic acid-benzotriazole photo-product (Weidauer et al. 2016)

N-methyl-4-aminobenzoic acid (Chatterji and Gallelli 1978)

References:
Scheme:

Examples:
Triclosan (Kliegman et al. 2013)

6-OH-PBDE 99 (Erickson et al. 2012)
6-Cl-triclosan (Buth et al. 2009)

References:
Scheme:

An exclusion rule is included to constrain that the cleaved bond is not part of a ring.
Examples:
Metoxuron (Boulkamh et al. 2001)

Diuron (Jirkovský et al. 1997)

Isoproturon (Dureja et al. 1991)

Metobromuron photo-product (Rosen and Strusz 1968)

Linuron photo-product (Rosen et al. 1969)

References:
Jirkovský, J., Faure, V. and Boule, P. 1997. Photolysis of diuron. Pestic. Sci. 50(1), 42-52.
Scheme:

An exclusion rule is included to constrain that the cleaved bond is not part of a ring.
Examples:
Metobromun (Rosen and Strusz 1968)

Linuron (Rosen et al. 1969)

References:
Scheme:

An exclusion rule is included to constrain that the cleaved bond is not part of a ring.
Examples:
Monuron photo-product (Crosby and Tang 1969)

Monuron photo-product (Crosby and Tang 1969)

References:
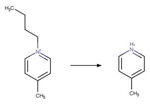
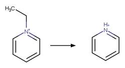
Scheme:

An exclusion rule is included to constrain that the cleaved bond is not part of a ring.
Examples:
1-butyl-4-methylpyridinium (Calza et al. 2017)

1-ethylpyridinium (Calza et al. 2017)

1-(3-cyanopropyl)pyridinium (Calza et al. 2017)

References:
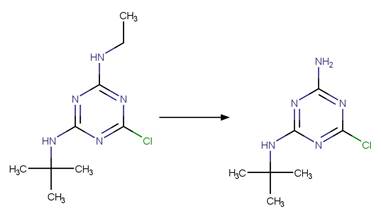
Scheme:

An exclusion rule is included to constrain that the cleaved bond is not part of a ring.
Examples:
desethyl atrazine (Torrents et al. 1997)

desisopropyl atrazine (Torrents et al. 1997)

Hexazinone photo-product (Rhodes 1980)

Cybutryne (Okamura et al. 1999)

triflusulfuron-methyl (EFSA)

Pirimicarb (Pirisi et al. 1996) (EFSA)

Bupirimate (EFSA)

Terbuthylazine (EFSA)

Dicyclanil (Goutailler et al. 2002)

References:
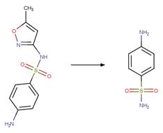
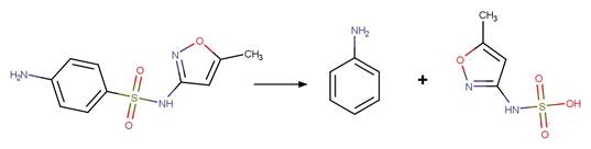
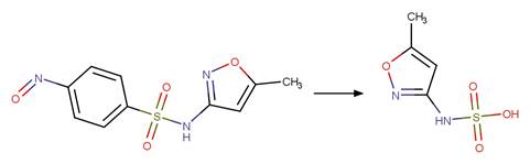
Scheme:

Examples:
Sulfamethoxazole (Boreen et al. 2004)

Sulfisoxazole (Boreen et al. 2004)

Sulfamethizole (Boreen et al. 2004)

Sulfathiazole (Boreen et al. 2004)

N-acetyl sulfamethoxazole (Bonvin et al. 2013)

References:
Scheme:

An exclusion rule is included to constrain that the cleaved bond is not part of a ring.
Examples:
Chlortetracycline (Chen et al. 2012)
The product is formed by the reaction scheme along with other transformations.

References:
Scheme:

Examples:
Metamitron (Kouras-Hadef et al. 2011, Palm et al. 1997) (EFSA)

Metribuzin (EFSA)

References:
Scheme:

Examples:
Diclofenac (Agüera et al. 2005)

Ketoprofen (Koumaki et al. 2015)

1-naphthaleneacetic acid (Crosby and Tang 1969) (EFSA)

Benoxaprofen (Navaratnam et al. 1985)

Naproxen (Moore and Chappuis 1988)

Indomethacin (Temussi et al. 2011)

References:
Scheme:

Examples:
Ibuprofen (Jacobs et al. 2011)

Ketoprofen (Koumaki et al. 2015)

1-naphthaleneacetic acid (Crosby and Tang 1969) (EFSA)

4,4'-dichlorobenzilic acid (Ware et al. 1980)
The product is formed by the reaction scheme along with other transformations.

Carprofen (Chen et al. 2003)

References:
Scheme:

Examples:
Ibuprofen (Jacobs et al. 2011)

Naproxen (Packer et al. 2003)

Ketoprofen (Kotnik et al. 2016)

Diclofenac (Agüera et al. 2005)

1-naphthaleneacetic acid (Crosby and Tang 1969) (EFSA)

2,2'-bis(4-chlorophenyl)acetic acid (Ware et al. 1980)

References:
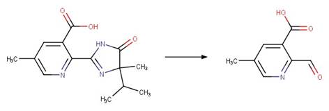
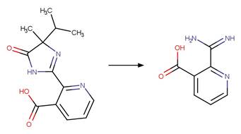
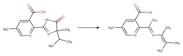
Scheme:

A relative reasoning exclusion rule is included by specifying that reactant atom 1 is not connected to an imidazolinone functional group through an aromatic bond.
Examples:
flutolanil photo-product (o-phthalic acid) (Lam et al. 2005)

flutolanil photo-product (2‐trifluoromethylbenzoic acid) (Lam et al. 2005)

Imazapic photo-product (Christiansen et al. 2015)

Imazaquin photo-product 1 (Christiansen et al. 2015)

Imazaquin photo-product 2 (Barkani et al. 2005)

Imazapyr photo-product (Quivet et al. 2004)

Ciprofloxacin (Ge et al. 2010)

2-phenylbenzimidazole-5-sulfonic acid photo-product (Zhang et al. 2010)

Acifluorfen (Vialaton and Richard 2002)

quinmerac (Pinna and Pusino 2012)

References:
Scheme:

A relative reasoning exclusion rule is included by specifying that reactant atom 1 is not connected to an imidazolinone functional group through an aromatic bond.
Examples:
Gentisic acid (McConville et al. 2016)

Imazaquin photo-product (Christiansen et al. 2015)

4-aminobenzoic acid (Shaw et al. 1992)

References:
Scheme:

An exclusion rule is included to constrain that benzene ring is not substituted by a hydroxyl group according to counterexamples. (Weidauer et al. 2016)
Examples:
1H-benzotriazole (Weidauer et al. 2016)

4-methyl-1H-benzotriazole (Weidauer et al. 2016)

5-methyl-1H-benzotriazole (Weidauer et al. 2016)

4-OH-benzotriazole (Weidauer et al. 2016)

5-carboxylic acid-benzotriazole (Weidauer et al. 2016)

1-methyl-5-carboxylic acid-benzotriazole (Weidauer et al. 2016)

References:
Scheme:

An exclusion rule is included to constrain that benzene ring is not substituted by a hydroxyl group according to counterexamples. (Weidauer et al. 2016)
Examples:
1H-benzotriazole (Weidauer et al. 2016)

4-methyl-1H-benzotriazole (Weidauer et al. 2016)

5-methyl-1H-benzotriazole (Weidauer et al. 2016)

4-OH-benzotriazole (Weidauer et al. 2016)

5-carboxylic acid-benzotriazole (Weidauer et al. 2016)

1-methyl-5-carboxylic acid-benzotriazole (Weidauer et al. 2016)

References:
Scheme:

Examples:
Cephapirin (Wang and Lin 2012)

Cephradine (Wang and Lin 2012)

Cephalexin (Wang and Lin 2012)

References:
Scheme:

Examples:
Cyphenothrin (Suzuki et al. 2017)
The product is formed by the reaction scheme along with other transformations.

References:
Scheme:

Examples:
Imazapic (Harir et al. 2007b)

Imazamox (Harir et al. 2007a)

References:
Scheme:

Examples:
Imazamox (Christiansen et al. 2015)

Imazapic (Christiansen et al. 2015)
Imazaquin (Christiansen et al. 2015)
References:
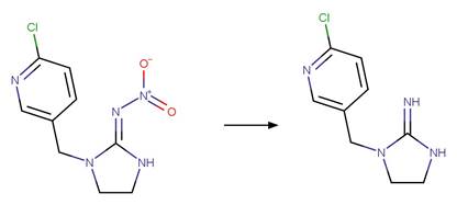
Scheme:

Examples:
Nitroguanidine (Halasz et al. 2018)

Imidacloprid (Wamhoff and Schneider 1999) (EFSA)

References:
Scheme:

Examples:
N-nitrosodimethylamine (Plumlee and Reinhard 2007)

References:
Scheme:

Examples:
Bezafibrate (Cermola et al. 2005)

fenofibric acid (Cermola et al. 2005)

References:
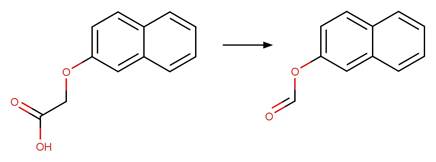
Scheme:

Examples:
4-chlorophenoxyacetic acid (Crosby and Wong 1973)

2-naphthoxyacetic acid (Climent and Miranda 1997)

Dichlorprop (Climent and Miranda 1997)

References:
Scheme:

Examples:
Benoxacor photo-product (Kral et al. 2019)

References:
Scheme:

Examples:
hexahydro-1,3,5-trinitro-1,3,5-triazine (RDX) (Hawari et al. 2002)

References:
Scheme:

An exclusion rule is included to ensure that no products with aromaticity/valence error are formed.
Examples:
Sulfamethazine (Boreen et al. 2005)

Sulfachloropyridazine (Boreen et al. 2005)

Sulfamerazine (Boreen et al. 2005)

References:
Scheme:

Examples:
Benoxacor (Kral et al. 2019)

References:
Scheme:

Examples:
Metolachlor (Dimou et al. 2005)

Alachlor (Chiron et al. 1995)

Dimethenamid (EFSA)

References:
Scheme:

A reactivity rule is included to ensure that no unreasonably fused products are formed by specifying that the shortest pathway between product atom 8 and 9 is 4 bonds.
Examples:
5-chloro-2-methylaminobenzophenone (West and Rowland 2012)

2-amino-5-chlorobenzophenone (West and Rowland 2012)

References:
Scheme:

Examples:
Chlorantraniliprole (Sharma et al. 2014) (EFSA)

Cyantraniliprole (Sharma et al. 2014) (EFSA)

References:
Scheme:

A reactivity rule is included to constrain that the ketone side chain is not part of a ring by specifying the bond between reactant atom 2 and 3 being a chain bond.
Examples:
Valerophenone (Zepp et al. 1998)

References:
Scheme:

Examples:
Benzobicyclon hydrolysate (Williams et al. 2018)

Sulcotrione (ter Halle et al. 2008)

References:
Scheme:

A reactivity rule is included to ensure that no unreasonably fused products are formed by specifying that the shortest pathway between product atom 7 and 8 is 5 bonds.
Examples:
Tamoxifen (DellaGreca et al. 2007)

Atorvastatin photo-product (Cermola et al. 2006)

References:
Scheme:

A reactivity rule is included to ensure that no unreasonably fused products are formed by specifying that the shortest pathway between product atom 7 and 8 is 5 bonds.
Examples:
Diethylstilbestrol (Xu et al. 2017)

Tamoxifen (DellaGreca et al. 2007)

References:
Scheme:

Scheme:

Scheme:

Because of a software bug in Metabolizer, a direct cyclization reaction cannot be performed on dinitroaniline compounds. Therefore, three sequential/consecutive reaction schemes were created to perform the overall cyclization reaction. The following examples are for any of the three schemes or their combinations.
Examples:
Trifluralin (Leitis and Crosby 1974, Tagle et al. 2005)

Trifluralin (Leitis and Crosby 1974)

2-ethyl-4-nitro-3-propyl-6-(trifluoromethyl)-1,3-benzodiazole-1,2-diol (Leitis and Crosby 1974)

Trifluralin photo-product (Tagle et al. 2005)

Benfluralin (EFSA)

Benfluralin (EFSA)
The product is formed by the reaction scheme along with other transformations.

Ethalfluraline (EFSA)
The product is formed by the reaction scheme along with other transformations.

Ethalfluraline (EFSA)
The product is formed by the reaction scheme along with other transformations.

Flumetralin (EFSA)
The products are formed by the reaction scheme along with other transformations.

Oryzalin (EFSA)
The product is formed by the reaction scheme along with other transformations.

References:
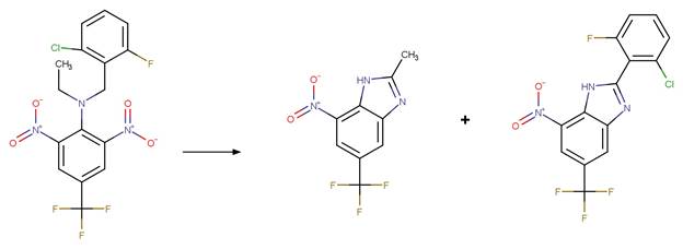
Scheme:

A reactivity rule is included to ensure that no unreasonably fused products are formed by specifying that the shortest path between product atom 1 and 7 is 4 bonds. An exclusion rule is included to exclude the amide functional group at reactant atom 13.
Examples:
Diphenylamine (Sur et al. 2000) (EFSA)

References:
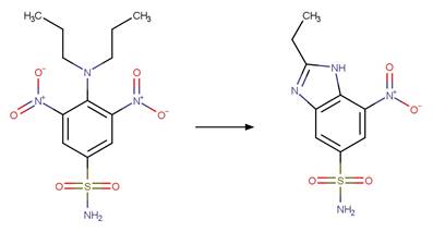
Scheme:

A reactivity rule is included to ensure that no unreasonably fused products are formed by specifying that the shortest path between product atom 1 and 7 is 4 bonds. An exclusion rule is included to exclude the amide functional group at reactant atom 13.
Examples:
Diclofenac (Poiger et al. 2001)

References:
Scheme:

Examples:
Lomefloxacin (Fasani et al. 1999)

References:
Scheme:

Examples:
Lamotrigine (Young et al. 2014)

References:
Scheme:

Examples:
Lamotrigine (Young et al. 2014)

References:
Scheme:

A reactivity rule is included to ensure that no unreasonably fused products are formed by specifying that the shortest path between product atom 8 and 9 is 3 bonds.
Examples:
Fluvastatin (Jarmużek et al. 2017)

Rosuvastatin (Astarita et al. 2007)

References:
Scheme:

A reactivity rule is included to ensure that no unreasonably fused products are formed by specifying that the shortest pathway between product atom 3 and 12 is 4 bonds.
Examples:
Triclosan (Latch et al. 2003)

6-OH-PBDE 99 (Erickson et al. 2012)

6-Cl-triclosan (Buth et al. 2009)

3-Cl-6-OH PBDE 47 (Steen et al. 2009)

2’-HO PBDE 28 (Zhang et al. 2016)

References:
Zhang, Y.-n., Xie, Q., Sun, G., Yang, K., Song, S., Chen, J., Zhou, C. and Li, Y. 2016. Effects of dissolved organic matter on phototransformation rates and dioxin products of triclosan and 2′-ho-bde-28 in estuarine water. Environmental Science: Processes & Impacts 18(9), 1177-1184.
Scheme:

Examples:
Carbamazepine (De Laurentiis et al. 2012)

Desipramine photo-product (Gros et al. 2015)

References:
Scheme:

A relative reasoning exclusion rule is included by specifying that reactant atom 4 is not connected to a sulfonamide functional group.
Examples:
2-chloro-4-nitroaniline (McConville et al. 2016)

4-amino-3-trifluoromethylphenol (Ellis and Mabury 2000)
The product is formed by the reaction scheme along with other transformations.

Penoxsulam photo-product (EFSA)

References:
Scheme:

A reactivity rule is included to ensure that at least one of the reactant atom 1 and 4 is aromatic.
Examples:
Phenisopham (Passananti et al. 2014)

Pirimicarb (Pirisi et al. 1996) (EFSA)

Carbaryl (Brahmia and Richard 2003)

Diethofencarb (EFSA)

References:
Scheme:

A reactivity rule is included to specify that reactant atom 3 is a chain atom. An exclusion rule is included to exclude the carboxylic acid ester functional group by specifying that reactant atom 2 is not a carbonyl carbon.
Examples:
Fluoxetine (Lam et al. 2005)

Oxyfluorfen (Ying and Williams 1999)
The product is formed by the reaction scheme along with other transformations.

4-chlorophenoxyacetic acid (Crosby and Wong 1973)

2,4-dichlorophenoxyacetic acid (Crosby and Tutass 1966)

Bezafibrate (Cermola et al. 2005)

2,4-dinitroanisole (Halasz et al. 2018)

Mecoprop (Meunier and Boule 2000)

Triasulfuron (Vulliet et al. 2002)

Penoxsulam photo-product (Jabusch and Tjeerdema 2006)

Napropamide (Aguer et al. 1998)

fenoxaprop-p-ethyl (EFSA)

pyriproxyfen (EFSA)

Fenazaquin (EFSA)

References:
Meunier, L. and Boule, P. 2000. Direct and induced phototransformation of mecoprop [2‐(4‐chloro‐2‐methylphenoxy)propionic acid] in aqueous solution. Pest Manage. Sci. 56(12), 1077-1085.
Scheme:

An exclusion rule is added to differentiate this scheme from “Fluoroquinolone Fluoride Photohydrolysis” by specifying that reactant atom 1 is not part of a quinolone functional group.
A relative reasoning exclusion rule is included by specifying that reactant atom 1 is not connected to a benzoylphenylurea functional group.
Examples:
Chlorpropham (Passananti et al. 2014)

Niclosamide photo-product (McConville et al. 2016)

Niclosamide photo-product (McConville et al. 2016)

2-chloro-5-trifluoromethylphenol (Young et al. 2008)

iodosulfuron-methyl (Brigante et al. 2005)

Metoxuron (Boulkamh et al. 2001)

Diuron (Jirkovský et al. 1997)

Linuron (Rosen et al. 1969)

Monuron (Rosen et al. 1969)

Metobromuron (Rosen and Strusz 1968)

Atrazine (Torrents et al. 1997)

Des-ethyl atrazine (Torrents et al. 1997)

Chlorpropham (Guzik 1978)

Terbuthylazine (EFSA)

6-chlorobenzoxazolon
(a metabolite of fenoxaprop-p-ethyl) (EFSA report on fenoxaprop-p-ethyl)
Bromoxynil (Machado et al. 1995)

Trazodone (DellaGreca et al. 2008)

Profenofos (Zamy et al. 2004)

Diclofenac photo-product (Eriksson et al. 2010)

Sarafloxacin (Ge et al. 2010)

Atorvastatin (Lam and Mabury 2005)

References:
Jirkovský, J., Faure, V. and Boule, P. 1997. Photolysis of diuron. Pestic. Sci. 50(1), 42-52.
Young, C., J., Gómez Biagi, R., F., Hurley, M., D., Wallington, T., J. and Mabury, S., A. 2008. Paint solvent to food additive: An environmental route of dehalogenation for 4‐chlorobenzotrifluoride. Environ. Toxicol. Chem. 27(11), 2233-2238.
Scheme:

Two relative reasoning exclusion rules are included by specifying (1) reactant atom 1 is not part of a dinitroaniline functional group and (2) reactant atom 1 is not part of a nitrofuran imine functional group.
Examples:
3-trifluoromethyl-4-nitrophenol (McConville et al. 2016)

4-nitrocatechol (McConville et al. 2016)

Oxyfluorfen (Ying and Williams 1999) (EFSA)

Parathion-methyl (Araújo et al. 2013)

2,4-dinitroanisole (Halasz et al. 2018)

2,4-dinitrophenol (Hawari et al. 2015)

3‐nitro‐4,5‐dihydro‐1H‐1,2,4‐triazol‐5‐one (NTO) (Halasz et al. 2018)

Nitrofuraldehyde (Edhlund et al. 2006)

References:
Scheme:

Examples:
5‐(dimethylsulfamoyl)‐2‐methylquinolin‐8‐yl benzenesulfonate (Kageyama et al. 2009)

naphthalen‐1‐yl benzenesulfonate (Kageyama et al. 2009)

Bupirimate (EFSA)

5-(dimethylsulfamoyl)-2-methylquinolin-8-yl methanesulfonate (Kageyama et al. 2009)

References:
Scheme:

Examples:
Diflubenzuron (Mabury and Crosby 1996) (only the second product) (EFSA) (both products)

1-(2-chlorobenzoyl)-3-(4-chlorophenyl) urea (Liu et al. 2001)

References:
Scheme:

Examples:
Flufenoxuron (EFSA)

Lufenuron (EFSA)

novaluron (EFSA)

Triflumuron (EFSA)

1-(2-chlorobenzoyl)-3-(4-chlorophenyl) urea (Liu et al. 2001)

References:
Scheme:

Examples:
Benzobicyclon hydrolysate (Williams et al. 2018)

Sulcotrione (ter Halle et al. 2008) (EFSA)

Mesotrione (ter Halle and Richard 2006)

References:
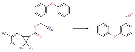
Scheme:

A reactivity is included to specify that reactant atom 3 is not part of a ring. A selectivity rule is included to avoid duplication of products for symmetric reactant by specifying that reactant atom 1 needs to be the more sterically hindered atom compared to atom 2. An exclusion rule is included to exclude reactants susceptible to “Phenoxylphenol Ether Photocleavage” by specifying that reactant atom 1 or 2 is not part of a phenoxyphenol functional group.
Examples:
Nitrofen (Nakagawa and Crosby 1974)

Acifluorfen (Vialaton et al. 2001)

Permethrin photo-product (3-phenoxybenzyl alcohol) (Holmstead et al. 1978)

3-phenoxybenzoic acid (Katagi 1992)

Flufenoxuron (EFSA)

Azoxystrobin (Boudina et al. 2007)

Fenoxycarb (EFSA)

Levothyroxine (Svanfelt et al. 2011)

Bifenox (EFSA)

haloxyfop-P (EFSA)

References:
Scheme:

Two exclusion rules are included (1) to exclude halogen substitution at reactant atom 8 and (2) to exclude molecules with a lower electrophilicity at atom 6 than norfloxacin. The electrophilicity of a specific unsaturated atom is calculated using ChemAxon’s Huckel analysis plugin.
Examples:
Ciprofloxacin (Baena-Nogueras et al. 2017)

Enoxacin (Fasani et al. 1999)

Lomefloxacin (Fasani et al. 1999)

Flumequine (Sirtori et al. 2012)
The product is formed by the reaction scheme along with other transformations.

References:
Scheme:

The bond between atom 3 and 5 is single/aromatic.
Examples:
Niclosamide (McConville et al. 2016)

Flutolanil (Lam et al. 2005)

Metolachlor (Wilson and Mabury 2000)

Sedaxane (EFSA)

Isopyrazam (EFSA)

Propanil (Moilanen and Crosby 1972)

Indomethacin photo-product (Temussi et al. 2011)

References:
Scheme:

Examples:
Furaltadone (Edhlund et al. 2006)

syn-Furazolidone (Edhlund et al. 2006)

anti-Furazolidone (Edhlund et al. 2006)

Nitrofurantoin (Edhlund et al. 2006)

References:
Scheme:
An exclusion rule is included to exclude the exact chemical of nitroguanidine.
Examples:
Imidacloprid (Moza et al. 1998)

Thiamethoxam (Todey et al. 2018)

Clothianidin (Mulligan et al. 2015)

References:
Scheme:

Examples:
Nitroguanidine (Haag et al. 1990)

References:
Rule

Examples:
Parathion-methyl (Weber et al. 2009)

Fenitrothion (Weber et al. 2009)

Fenthion (Hirahara et al. 2003, Torrisi and Sortino 2004)

Butamifos (Katagi 1993)

4-nitro butamifos photo-product (Katagi 1993)

Isofenfos (Zamy et al. 2004)

Profenofos (Zamy et al. 2004)

pirimiphos-methyl (EFSA)

References:
Scheme:

Examples:
Permethrin (Holmstead et al. 1978)

Metofluthrin (Nishiyama et al. 2010)

References:
Scheme:

Examples:
Benoxacor photo-product (Kral et al. 2019)

References:
Scheme:

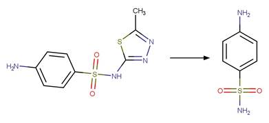
The bond between atom 4 and 6 is single/aromatic.
Three exclusion rules are included (1) to exclude certain 4-nitro/4-nitroso sulfonamide functional group (such as 4-nitro sulfamethoxazole), (2) to exclude sulfonamides which have 6-membered ring in both atom 1 and atom 6, and (3) to exclude reactants susceptible to “sulfonylurea” related reaction schemes by specifying that reactant atom 6 is not a urea carbon.
A relative reasoning exclusion rule is included by specifying that reactant atom 1 is not part of an aromatic sulfonate functional group.
Examples:
Sulfamethoxazole (Boreen et al. 2004)

Sulfisoxazole (Boreen et al. 2004)

Sulfamethizole (Boreen et al. 2004)

Sulfathiazole (Boreen et al. 2004)

4-nitroso sulfamethoxazole (Bonvin et al. 2013)

4-nitro sulfamethoxazole (Bonvin et al. 2013)

Penoxsulam (EFSA)

Pyroxsulam (EFSA)

Florasulam (Krieger et al. 2000) (EFSA)

Amisulbrom (EFSA)

Argatroban (Secrétan et al. 2016)

References:
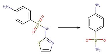
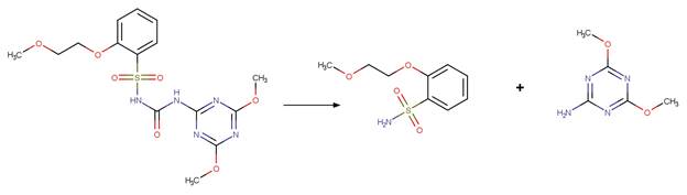
Scheme:

Two exclusion rules are included (1) to exclude certain 4-nitro sulfonamide functional group (such as 4-nitro sulfamethoxazole) and (2) to exclude reactants susceptible to “sulfonylurea” related reaction schemes by specifying that reactant atom 6 is not a urea carbon.
A relative reasoning exclusion rule is included by specifying that reactant atom 1 is not part of an aromatic sulfonate functional group.
Examples:
Sulfadimethoxine (Guerard et al. 2009)

Sulfamethoxazole (Bonvin et al. 2013)

N-acetyl sulfamethoxazole (Bonvin et al. 2013)

4-nitroso sulfamethoxazole (Bonvin et al. 2013)

sulfamethoxazole glucuronide (Bonvin et al. 2013)

Penoxsulam (Jabusch and Tjeerdema 2006)

Argatroban (Secrétan et al. 2016)

4-nitro sulfamethoxazole (Bonvin et al. 2013)

References:
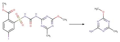
Scheme:

Examples:
Imazosulfuron (Rering et al. 2017)
Cinosulfuron (Vulliet et al. 2002)

triasulfuron (Vulliet et al. 2002)

iodosulfuron-methyl (Brigante et al. 2005)

thifensulfuron-methyl (Aziz et al. 2010)

Sulfosulfuron (EFSA)

References:
Scheme:

Examples:
Cinosulfuron (Vulliet et al. 2002)

Triasulfuron (Vulliet et al. 2002)

Sulfosulfuron (EFSA)

metsulfuron-methyl (Caselli 2005) (EFSA)

References:
Scheme:

Examples:
Sulfosulfuron (EFSA)

Imazosulfuron (Rering et al. 2017)

Cinosulfuron (Vulliet et al. 2002)

thifensulfuron-methyl (Aziz et al. 2010)

References:
Scheme:

Examples:
3-trifluoromethyl-4-nitrophenol photo-product (trifluoromethylhydroquinone) (McConville et al. 2016)

Flufenamic acid (Rafqah and Sarakha 2016)

Fluoxetine (Lam et al. 2005)

Fluometuron (Halladja et al. 2007, Lam et al. 2005)

Flutolanil photo-product (Lam et al. 2005)

3-trifluoromethylphenol (Ellis and Mabury 2000)

Fluazinam (EFSA)
The product is formed by the reaction scheme along with other transformations.

Penoxsulam photo-product (EFSA)

2-chloro-5-trifluoromethylphenol photo-product (Young et al. 2008)

3-trifluoromethyl-4-nitrophenol (Ellis and Mabury 2000)

Oxyfluorfen (EFSA)
The product is formed by the reaction scheme along with other transformations.

References:
Young, C., J., Gómez Biagi, R., F., Hurley, M., D., Wallington, T., J. and Mabury, S., A. 2008. Paint solvent to food additive: An environmental route of dehalogenation for 4‐chlorobenzotrifluoride. Environ. Toxicol. Chem. 27(11), 2233-2238.
Scheme:

Examples:
distyrylbiphenyl disulfonate (Kramer et al. 1996)

diaminostilbene DAS 1 (Kramer et al. 1996)

diaminostilbene DAS 2 (Kramer et al. 1996)

References:
Scheme:

Examples:
17α-trenbolone (Baltrusaitis et al. 2016)

17β-trenbolone (Baltrusaitis et al. 2016)

Trendione (Qu et al. 2013)

Altrenogest photo-product (Wammer et al. 2016)

References:
Scheme:

Examples:
Androstenedione (Young et al. 2013)

Testosterone (Vulliet et al. 2010)

References:
Scheme:

Examples:
17β-trenbolone (Kolodziej et al. 2013)

References:
Scheme:

Examples:
17α-trenbolone (Baltrusaitis et al. 2016)

17β-trenbolone (Baltrusaitis et al. 2016)

Trendione (Qu et al. 2013)

References:
Scheme:

Examples:
1-naphthol photo-product (1,2-naphthoquinone) (Brahmia and Richard 2005), carbaryl photo-product (Brahmia and Richard 2003)

References:
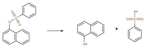
Scheme:

Examples:
1,4-naphthoquinone (Brahmia and Richard 2003)

References:
Scheme:

Examples:
1,4-naphthoquinone (Brahmia and Richard 2003)

References:
Scheme:

Examples:
1-hydroxypyrene (Sigman et al. 1998)

References:
Scheme:

Examples:
1-hydroxypyrene (Sigman et al. 1998)

References:
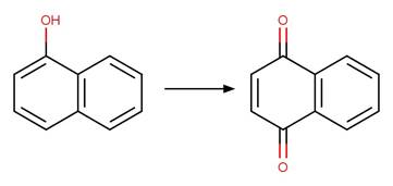
Scheme:

Examples:
1-naphthol (Brahmia and Richard 2005)

References:
Scheme:

Examples:
1-naphthol (Brahmia and Richard 2005)

5-hydroxyl-1-naphthol (Oelgemöller et al. 2011)

References:
Scheme:

Examples:
Propranolol (Sortino et al. 2002)

Carbaryl (Brahmia and Richard 2003)

References:
Scheme:

Examples:
Anthracene (Sigman et al. 1991)

7,12-dimethylbenz[a]anthracene (Wood et al. 1979)

References:
Scheme:

Examples:
4-nitro butamifos (Katagi 1993)

Fenitrothion (Mikami et al. 1985) (EFSA)

References:
Scheme:

Examples:
4-nitroso sulfamethoxazole (Bonvin et al. 2013), sulfamethoxazole photo-product (Willach et al. 2018)

3-trifluoromethyl-4-nitrophenol photo-product (Carey and Fox 1981)

Butamifos photo-product (Katagi 1993)

4-chloronitrosobenzene (Miller and Crosby 1983)

References:
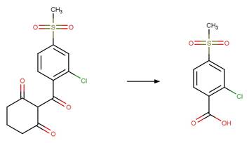
Scheme:

Examples:
Fenthion sulfoxide (Hirahara et al. 2003)

Sulprofos photo-product (Ivie and Bull 1976)

Fenamiphos photo-product (EFSA)
The product is formed by the reaction scheme along with other transformations.

References:
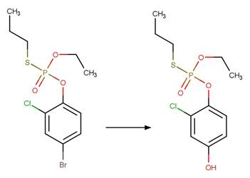
Scheme:

Examples:
Fenthion (Torrisi and Sortino 2004)

Thioanisole (Huang and Mabury 2000)

Methiocarb (EFSA)

Fenamiphos (EFSA)

References:
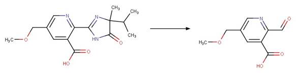
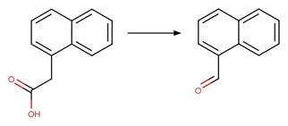
Scheme:

An exclusion rule is included to exclude reactants susceptible to “2-Nitrobenzaldehyde Photorearrangement” by specifying that there is no nitro functional group ortho to the benzaldehyde.
Examples:
Permethrin photo-product (Holmstead et al. 1978)

Methotrexate photo-product (Chatterji and Gallelli 1978)

Diclofenac photo-product (Agüera et al. 2005)

4-chlorobenzaldehyde (Ware et al. 1980)

1-naphthaldehyde (Crosby and Tang 1969)

References:
Scheme:

A reactivity rule is included to ensure that the formed product cannot be triggered iteratively by this reaction scheme by specifying that reactant atom 3 needs to have less than 3 connections (including H). An exclusion rule is included by specifying that reactant atom 2 is not a carbonyl carbon.
Examples:
Ethiofencarb (Vialaton and Richard 2002)

Drepamon (Draper and Crosby 1984)

References:
Scheme:

Examples:
myrigalone A (Khaled et al. 2019)

References:
Scheme:

Examples:
Isoleptospermone (Trivella et al. 2015)

Grandiflorone (Trivella et al. 2015)

References:
Scheme:

Examples:
myrigalone A (Khaled et al. 2019)

References:
Scheme:

Examples:
Leptospermone (Trivella et al. 2015)

Grandiflorone (Trivella et al. 2015)

References:
Scheme:

A selectivity rule is included to avoid duplication of products for symmetric reactant by specifying that reactant atom 3 needs to be the more sterically hindered atom.
Examples:
distyrylbiphenyl disulfonate (Kramer et al. 1996)

diaminostilbene DAS 1 (Kramer et al. 1996)

Tamoxifen (DellaGreca et al. 2007)

References:
Scheme:

Examples:
Carboxin (DellaGreca et al. 2004) (EFSA)

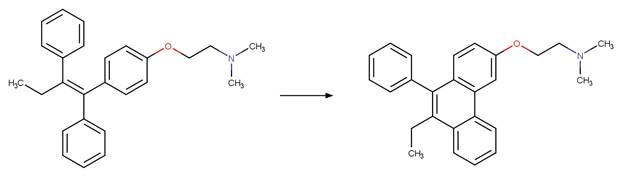
References:
Scheme:

Examples:
Amlodipine (DellaGreca et al. 2007)

References:
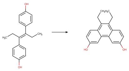
Scheme:

Examples:
17β-estradiol (Mazellier et al. 2008)

17α-ethinylestradiol (Mazellier et al. 2008)

dehydroabietic acid photo-product (Corin et al. 2000)

References:
Scheme:

Examples:
17β-estradiol (Mazellier et al. 2008)

17α-ethinylestradiol (Mazellier et al. 2008)

dehydroabietic acid photo-product (Corin et al. 2000)

References:
Scheme:

Examples:
Parathion-methyl (Weber et al. 2009)

Fenitrothion (Weber et al. 2009) (EFSA)

4-nitro butamifos (Katagi 1993)

Parathion (Mansour et al. 1983)

Isofenfos (Zamy et al. 2004)

References:
Scheme:

Examples:
Diuron (Tanaka et al. 1986)

Monuron (Crosby and Tang 1969)

Monuron photo-product (Crosby and Tang 1969)

References:
Tanaka, F.S., Hoffer, B.L. and Wien, R.G. 1986. Photolysis of 3‐(3,4‐dichlorophenyl)‐1, 1 ‐dimethylurea (diuron) in dilute aqueous solution. Toxicol. Environ. Chem. 11(4), 261-269.
Scheme:

An exclusion rule is included to exclude the reaction of 1-hydroxypyrene by specifying that reactant atom 1 is not part of 1-hydroxypyrene.
Examples:
Pyrene (Sigman et al. 1998)
The product is formed by the reaction scheme along with other transformations.

References:
Scheme:

Examples:
Atrazine (Torrents et al. 1997)

Pirimicarb (Pirisi et al. 1996) (EFSA)

References:
Scheme:

An exclusion rule is included to constrain that the cleaved bond is not part of a ring.
Examples:
Atrazine (Torrents et al. 1997)

References:
Scheme:

Examples:
17β-trenbolone (Kolodziej et al. 2013)

References:
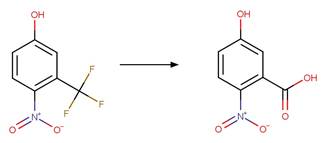
Scheme:

Examples:
3-trifluoromethyl-4-nitrophenol photo-product (trifluoromethyl hydroquinone), 4-amino-3-trifluoromethylphenol photo-product (Ellis and Mabury 2000, McConville et al. 2016)

References:
Scheme:

An exclusion rule is added to differentiate this scheme from “Fluoroquinolone Photohydrodefluorination” by specifying that reactant atom 1 is not part of a quinolone functional group.
A relative reasoning exclusion rule is included by specifying that reactant atom 1 is not connected to a benzoylphenylurea functional group.
Examples:
fipronil photo-product (Ngim et al. 2000)

BDE-47 (Wei-Haas 2015)

Profenofos (Zamy et al. 2004)

Diclofenac photo-product (Moore et al. 1990)

Triclosan (Kliegman et al. 2013)

Iopromide (Pérez et al. 2009)

Proquinazid (EFSA)

References:
Scheme:

Examples:
Trifluralin photo-product (Leitis and Crosby 1974)

Pendimethalin (Dureja and Walia 1989)

Fluazinam (EFSA)

Flumetraline (EFSA)

References:
Dureja, P. and Walia, S. 1989. Photodecomposition of pendimethalin. Pestic. Sci. 25(2), 105-114.
Scheme:
An exclusion rules are included to exclude halogen substitution at reactant atom 8.
Examples:
Enrofloxacin (Wammer et al. 2013)
The product is formed by the reaction scheme along with other transformations.

Ciprofloxacin (Baena-Nogueras et al. 2017)

Balofloxacin photo-product (Ge et al. 2018)

References:
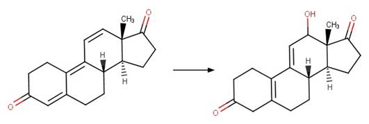
Scheme:

Examples:
17α-trenbolone photo-product (12-OH-17α-trenbolone) (Baltrusaitis et al. 2016)

17β-trenbolone photo-product (12-OH-17β-trenbolone) (Baltrusaitis et al. 2016)

Trendione photo-product (12-OH-trendione) (Qu et al. 2013)

References:
Scheme:

Examples:
17α-trenbolone photo-product (5-OH-17α-trenbolone) (Baltrusaitis et al. 2016)

17β-trenbolone photo-product (5-OH-17β-trenbolone) (Baltrusaitis et al. 2016)

Trendione photo-product (5-OH-trendione) (Qu et al. 2013)

Altrenogest photo-product (5-OH-altrenogest) (Wammer et al. 2016)

References:
Scheme:

Examples:
N-nitrosodimethylamine (Plumlee and Reinhard 2007)
The product is formed by the reaction scheme along with other transformations.

Metofluthrin photo-product (Nishiyama et al. 2010)

Cyphenothrin photo-product (Suzuki et al. 2017)

References:
Scheme:

Two exclusion rules are included (1) to prevent the exact chemical of N-[(nitroamino)methyl]formamide for reacting and (2) to constrain that the reaction scheme does not happen to aromatic compounds.
Examples:
hexahydro-1,3,5-trinitro-1,3,5-triazine (RDX) photo-product (Hawari et al. 2002)
The product is formed by the reaction scheme along with other transformations.

References:
Scheme:

Two exclusion rules are included (1) to exclude the exact chemical of N-[(nitroamino)methyl]formamide and (2) to constrain that the reaction scheme does not happen to aromatic compounds.
Examples:
hexahydro-1,3,5-trinitro-1,3,5-triazine (RDX) photo-product (Hawari et al. 2002)

References:
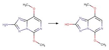
Scheme:

This scheme is a duplicate of the same reaction scheme in the CTS abiotic hydrolysis library. The reaction is actually an equilibrium between a geminal diol and a carbonyl compound, where the carbonyl is usually the dominant form except for simple aldehydes (Bell and Evans 1966, Tebes-Stevens et al. 2017). Although the dominant form for simple aldehydes (e.g., formaldehyde) is usually the diol, this reaction is still allowed for simple aldehydes because the equilibrium is strongly dependent on the solution chemistry and some analytical techniques do not differentiate between the two forms.
Examples:
hexahydro-1,3,5-trinitro-1,3,5-triazine photo-product (Hawari et al. 2002)
The product is formed by the reaction scheme along with other transformations.

References:
Scheme:

Examples:
Furaltadone photo-product, Furazolidone photo-product, Nitrofurantoin photo-product (5-hydroxyfuran-2-carbaldehyde) (Edhlund et al. 2006)

References:
Scheme:

Examples:
hexahydro-1,3,5-trinitro-1,3,5-triazine photo-product (Hawari et al. 2002)

References:
|
rank |
equivalent mid-point half-life |
range of geometric mean of t1/2,pr for rank assignment |
|
7 |
17 minutes |
< 30 minutes |
|
6 |
2.0 hours |
30 minutes – 200 minutes |
|
5 |
14 hours |
200 minuts - 1 day |
|
4 |
4.0 days |
1 day - 1 week |
|
3 |
0.93 month |
1 week - 2 months |
|
2 |
0.54 year |
2 months - 1 year |
|
1 |
3.8 year |
> 1 year |
|
# |
reaction scheme name |
rank |
|
|
Photorearrangement |
|
|
1 |
1-Naphthoxy Photorearrangement (C2) |
4 |
|
2 |
1-Naphthoxy Photorearrangement (C4) |
4 |
|
3 |
2-Naphthoxy Photorearrangement (C1) |
4 |
|
4 |
2-Nitrobenzaldehyde Photorearrangement |
4 |
|
5 |
Benzyl Phenyl Ether Photorearrangement (o) |
3 |
|
6 |
Benzyl Phenyl Ether Photorearrangement (p) |
3 |
|
7 |
Enone Steroid Photorearrangement to Cyclopentenone |
4 |
|
8 |
Enone Steroid Photorearrangement to Lumiketone |
4 |
|
9 |
O-aryl Carbamate Photorearrangement (o) |
4 |
|
10 |
O-aryl Carbamate Photorearrangement (p) |
4 |
|
11 |
Organothiophosphorus Ester Photochemical Oxygen Transfer |
4 |
|
12 |
Organothiophosphorus Ester Photorearrangement |
4 |
|
13 |
Phenoxyphenol Dehalogenative Photorearrangement |
4 |
|
|
Photodissociation |
|
|
14 |
Aromatic Ketone Norrish II Photocleavage (C1_C4) |
4 |
|
15 |
Aminobenzophenone Photochemical N-dealkylation |
4 |
|
16 |
Benzyl Photodeamination to Alcohol |
3 |
|
17 |
Benzyl Photodeamination to Carbonyl |
3 |
|
18 |
Benzyl Thiocarbamate Photocleavage to Carbonyl |
2 |
|
19 |
Cyclohexanedione Oxime N-O Photocleavage |
4 |
|
20 |
Diazepam Ring Photocleavage |
3 |
|
21 |
Dihydrophenanthrene Benzyl Photodealkylation |
4 |
|
22 |
Dihydrophenanthrene Benzyl Oxidative Photodealkylation |
4 |
|
23 |
Dinitroaniline Photochemical N-dealkylation |
4 |
|
24 |
Fluoroquinolone Ethylenediamine Photochemical N-dealkylation |
7 |
|
25 |
Fluoroquinolone Photochemical N-dealkylation |
6 |
|
26 |
Fluoroquinolone Piperazine Photochemical Bis N-dealkylation |
7 |
|
27 |
Imidazolinone Ring Photocleavage to Aldehyde |
4 |
|
28 |
Imidazolinone Ring Photocleavage to Amide |
4 |
|
29 |
Imidazolinone Ring Photocleavage to Amidine |
4 |
|
30 |
Imidazolinone Ring Photocleavage to Carboxylic Acid |
4 |
|
31 |
Nitroenamine Photocleavage |
4 |
|
32 |
Nitroenamine Photocleavage to Carbonyl |
4 |
|
33 |
Nitrosamine N-C Photocleavage |
4 |
|
34 |
p-Aminobenzoic Acid Photochemical N-dealkylation |
4 |
|
35 |
Phenoxyphenol Ether Photocleavage |
4 |
|
36 |
Phenylurea Photochemical N-dealkylation |
1 |
|
37 |
Phenylurea Photochemical N-demethoxylation |
1 |
|
38 |
Phenylurea N-formyl Photocleavage |
4 |
|
39 |
Pyridinium Photochemical N-dealkylation |
4 |
|
40 |
s-Triazine Side Chain Photochemical N-dealkylation |
3 |
|
41 |
Sulfonamide N-C Photocleavage (6-5) |
4 |
|
42 |
Tetracycline Photochemical N-dealkylation |
4 |
|
|
Photoelimination |
|
|
43 |
1_2_4-Triazine-5-one Photochemical N-deamination |
4 |
|
44 |
Aromatic Acetic Acid Photodecarboxylation |
4 |
|
45 |
Aromatic Acetic Acid Photodecarboxylation to Alcohol |
4 |
|
46 |
Aromatic Acetic Acid Photodecarboxylation to Carbonyl |
4 |
|
47 |
Aromatic Carboxylic Acid Photodecarboxylation |
4 |
|
48 |
Aromatic Carboxylic Acid Photodecarboxylation to Alcohol |
4 |
|
49 |
Benzotriazole Photodenitrogenation |
4 |
|
50 |
Benzotriazole Photodenitrogenation to Phenol (o) |
4 |
|
51 |
Cephem Photodecarboxylation |
4 |
|
52 |
Cyanohydrin Cyano Photoelimination to Aldehyde |
4 |
|
53 |
Fipronil Sulfoxide Photoextrusion |
4 |
|
54 |
Imidazolinone Amide Photoelimination |
4 |
|
55 |
Imidazolinone Photodecarbonylation |
4 |
|
56 |
Nitroguanidine Photochemical N-denitration |
4 |
|
57 |
Nitrosamine N-N Photocleavage |
4 |
|
58 |
Phenoxyacetic Acid Photodecarboxylation |
4 |
|
59 |
Phenoxyacetic Acid Photodecarboxylation to Carbonyl |
4 |
|
60 |
Pyrrolinone Photodecarbonylation |
4 |
|
61 |
RDX Photochemical N-denitration to Imine |
4 |
|
62 |
Sulfonamide SO2 Extrusion Photorearrangement (6-6) |
4 |
|
|
Photocyclization |
|
|
63 |
Acetanilide Dehalogenative Photocyclization to Pyrrolinone |
4 |
|
64 |
Acetanilide O-dealkyl Dehalogenative Photocyclization to Morpholinone |
4 |
|
65 |
Altrenogest Photocycloaddition |
7 |
|
66 |
Aminobenzophenone Photocyclization to Acridinone |
4 |
|
67 |
Anthranilic Diamide Dehalogenative Photocyclization to Oxazine |
4 |
|
68 |
Aromatic Ketone Norrish II Photocyclization (C1_C4) |
4 |
|
69 |
beta-Triketone Dehalogenative Photocyclization to Pyran |
4 |
|
70 |
Diarylethene Photocyclization to Phenanthrene |
4 |
|
71 |
Diarylethene Photocyclization to Phenanthrene (E isomer) |
4 |
|
72 |
Dinitroaniline Photocyclization to Benzimidazole (NOHOH) |
4 |
|
73 |
Dinitroaniline Photocyclization to Benzimidazole (NOHOH to NO) |
7 |
|
74 |
Dinitroaniline Photocyclization to Benzimidazole (NO to N) |
4 |
|
75 |
Diphenylamine Photocyclization to Carbazole |
4 |
|
76 |
Diphenylamine Dehalogenative Photocyclization to Carbazole |
4 |
|
77 |
Fluoroquinolone Defluorinative Photocyclization |
7 |
|
78 |
Lamotrigine Photocyclization to Carbazole |
4 |
|
79 |
Lamotrigine Dehalogenative Photocyclization to Carbazole |
4 |
|
80 |
o-Vinylbiphenyl Photocyclization to Dihydrophenanthrene |
5 |
|
81 |
Phenoxyphenol Dehalogenative Photocyclization to Dioxin |
4 |
|
|
Photochemical Ring Contraction |
|
|
82 |
Zepine Photochemical Ring Contraction to Acridine |
4 |
|
|
Photohydrolysis |
|
|
83 |
Aromatic Amine Photohydrolysis |
4 |
|
84 |
Aromatic Carbamate Photohydrolysis |
4 |
|
85 |
Aromatic Ether Photohydrolysis |
3 |
|
86 |
Aromatic Halide Photohydrolysis |
3 |
|
87 |
Aromatic Nitro Photohydrolysis |
3 |
|
88 |
Aromatic Sulfonate Photohydrolysis |
4 |
|
89 |
Benzoylphenylurea Amide Photohydrolysis |
4 |
|
90 |
Benzoylphenylurea Urea Photohydrolysis |
4 |
|
91 |
beta-Triketone alpha Photocleavage to Carboxylic Acid |
4 |
|
92 |
Diphenyl Ether Photohydrolysis |
4 |
|
93 |
Fluoroquinolone Fluoride Photohydrolysis |
7 |
|
94 |
N-aryl Amide Photohydrolysis |
3 |
|
95 |
Nitrofuran Imine Photohydrolysis |
4 |
|
96 |
Nitroguanidine Imine Photohydrolysis |
4 |
|
97 |
Nitroguanidine Nitro Photohydrolysis |
4 |
|
98 |
Organophosphorus Ester Photohydrolysis |
3 |
|
99 |
Pyrethroid Carboxylic Acid Ester Photohydrolysis |
4 |
|
100 |
Pyrrolinone Halide Photohydrolysis |
4 |
|
101 |
Sulfonamide Photohydrolysis |
4 |
|
102 |
Sulfonamide S-C Photohydrolysis |
3 |
|
103 |
Sulfonylurea Photohydrolysis |
4 |
|
104 |
Sulfonylurea S-C Photohydrolysis |
4 |
|
105 |
Sulfonylurea S-N Photohydrolysis |
4 |
|
106 |
Trifluoromethyl Photohydrolysis |
4 |
|
|
Photohydration |
|
|
107 |
Diarylethene Photohydration |
5 |
|
108 |
Dienone Steroid Photohydration (C5) |
4 |
|
109 |
Dienone Steroid Photohydration (C9) |
4 |
|
110 |
Enone Steroid Photohydration and Photorearrangement to Spiro |
4 |
|
111 |
Trienone Steroid Photohydration (C10) |
4 |
|
112 |
Trienone Steroid Photohydration (C12) |
4 |
|
|
Photooxidation |
|
|
113 |
1_2-Naphthoquinone Photohydroxylation (C4) |
4 |
|
114 |
1_4-Naphthoquinone Photohydroxylation (C5) |
4 |
|
115 |
1_4-Naphthoquinone Photohydroxylation (C6) |
4 |
|
116 |
1-Hydroxypyrene Photooxidation to Quinone (C1_C6) |
4 |
|
117 |
1-Hydroxypyrene Photooxidation to Quinone (C1_C8) |
4 |
|
118 |
1-Naphthol Photooxidation to 1_2-Benzoquinone |
4 |
|
119 |
1-Naphthol Photooxidation to 1_4-Benzoquinone |
4 |
|
120 |
1-Naphthoxy Oxidative Photocleavage to 1_4-Benzoquinone |
4 |
|
121 |
Anthracene Photooxidation to Endoperoxide |
4 |
|
122 |
Aromatic Methyl Photooxidation to Carboxylic Acid |
4 |
|
123 |
Aromatic Nitroso Photooxidation |
4 |
|
124 |
Aromatic Sulfoxide Photooxidation |
4 |
|
125 |
Aromatic Thioether Photooxidation |
4 |
|
126 |
Benzaldehyde Photooxidation to Carboxylic Acid |
4 |
|
127 |
Benzyl Thio Photooxidation to Sulfoxide |
2 |
|
128 |
beta-Triketone alpha Photohydroxylation (Dienol) |
4 |
|
129 |
beta-Triketone alpha Photohydroxylation (Keto) |
4 |
|
130 |
beta-Triketone Photohydroxylation (Enol) |
4 |
|
131 |
beta-Triketone Photohydroxylation (Keto) |
4 |
|
132 |
Carbamazepine Photoepoxidation |
4 |
|
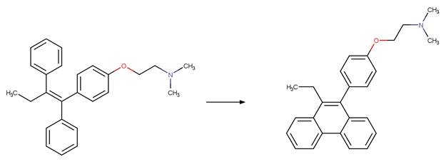
133 |
Diarylethene Photooxidation |
4 |
|
134 |
Dihydrooxathiine Anilide Photooxidation to Sulfoxide |
4 |
|
135 |
Dihydropyridine Photooxidation to Pyridine |
4 |
|
136 |
Octahydrophenanthrene Benzyl Photohydroxylation |
4 |
|
137 |
Octahydrophenanthrene Benzyl Photooxidation to Ketone |
4 |
|
138 |
Organothiophosphorus Ester Photooxidation to Oxon |
3 |
|
139 |
Phenylurea N-methyl Photooxidation to N-formyl |
1 |
|
140 |
Pyrene Aromatic Photohydroxylation |
4 |
|
141 |
s-Triazine Side Chain N-alkyl Photooxidation to Carbonyl |
3 |
|
142 |
s-Triazine Side Chain N-isopropyl Photooxidation to Ketone |
2 |
|
143 |
Trienone Steroid Photooxidation to Dialdehyde |
4 |
|
144 |
Trifluoroacetic Acid Photoformation |
4 |
|
|
Photoreduction |
|
|
145 |
Aromatic Photohydrodehalogenation |
2 |
|
146 |
Dinitroaniline Nitro Photoreduction |
4 |
|
147 |
Fluoroquinolone Photohydrodefluorination |
7 |
|
|
Secondary Dark Reaction |
|
|
148 |
12-OH Steroid Dehydration to Trienone |
4 |
|
149 |
5-OH Steroid Dehydration to Dienone |
4 |
|
150 |
Aldehyde Oxidation to Carboxylic Acid |
4 |
|
151 |
C-NCO Hydrolysis |
4 |
|
152 |
C-NNO2 Hydrolysis |
4 |
|
153 |
Dehydration of Geminal Diols |
7 |
|
154 |
Hydroxy Enal Tautomerization |
4 |
|
155 |
Nitro Amidine Hydrolysis |
4 |